Award

Manufacture and Supply of Warrior Gunners Services Box

MINISTRY OF DEFENCE

This public procurement record has 1 release in its history.

Award

14 Mar 2017 at 09:53

Summary of the contracting process

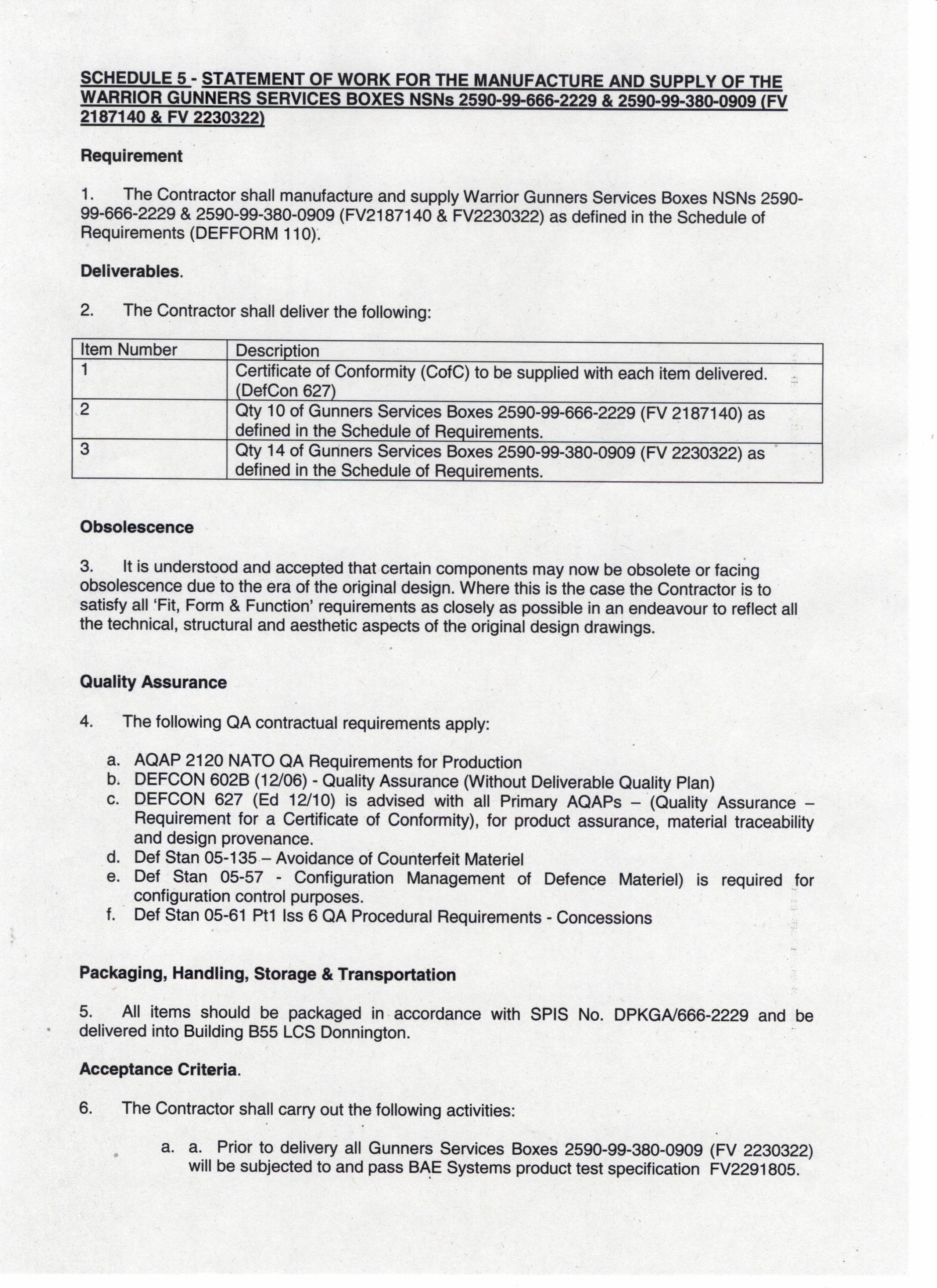
The public procurement process involves the Ministry of Defence, which is seeking tenders for the "Manufacture and Supply of Warrior Gunners Services Box" within the military vehicles and associated parts industry category. This tender opportunity is located in Bristol, England, with the delivery address based in Telford. The procurement method is classified under a single source requirement and has reached the award stage. The tender period concluded on 21 February 2017, and the contract commenced on 10 March 2017, extending until 31 May 2017.

This contract presents a significant opportunity for businesses in the manufacturing sector, particularly those specialised in military and defence-related products. Companies that have experience in producing military vehicles or components, specifically those capable of meeting the stringent requirements of the Ministry of Defence, would be well-positioned to compete for such tenders. The awarded contract, valued at £206,690, has been conferred to BAE Global Combat Systems Ltd, highlighting the competitive landscape in this sector.

Find more tenders on our Open Data Platform.
How relevant is this notice?

D3 Tenders Premium

Win More Public Sector Contracts

AI-powered tender discovery, pipeline management, and market intelligence — everything you need to grow your public sector business.

Notice Title

Manufacture and Supply of Warrior Gunners Services Box

Notice Description

Single source requirement for the manufacture and supply Warrior Gunners Services Boxes NSNs 2590-99-666-2229 & 2590-99-380-0909 (FV2187140 & FV2230322)

Publication & Lifecycle

Open Contracting ID
ocds-b5fd17-4682e331-6f66-4f6a-bc56-a2f1d7f2c657
Publication Source
Contracts Finder
Latest Notice
https://www.contractsfinder.service.gov.uk/Notice/d6179a95-a0c4-43ec-a593-51c8680cb543
Current Stage
Award
All Stages
Award

Procurement Classification

Notice Type
Award Notice
Procurement Type
Standard
Procurement Category
Goods
Procurement Method
Not Specified
Procurement Method Details
Not applicable
Tender Suitability
Not specified
Awardee Scale
Large

Common Procurement Vocabulary (CPV)

CPV Divisions

35 - Security, fire-fighting, police and defence equipment


CPV Codes

35400000 - Military vehicles and associated parts

Notice Value(s)

Tender Value
Not specified
Lots Value
Not specified
Awards Value
£206,690 £100K-£500K
Contracts Value
Not specified

Notice Dates

Publication Date
14 Mar 20178 years ago
Submission Deadline
21 Feb 2017Expired
Future Notice Date
Not specified
Award Date
10 Mar 20178 years ago
Contract Period
13 Mar 2017 - 31 May 2017 1-6 months
Recurrence
Not specified

Notice Status

Tender Status
Complete
Lots Status
Not Specified
Awards Status
Active
Contracts Status
Not Specified

Contracting Authority (Buyer)

Main Buyer
MINISTRY OF DEFENCE
Contact Name
Mrs Catherine Smith
Contact Email
catherine.smith120@mod.uk
Contact Phone
03067935855

Buyer Location

Locality
BRISTOL
Postcode
BS34 8JH
Post Town
Bristol
Country
England

Major Region (ITL 1)
TLK South West (England)
Basic Region (ITL 2)
TLK5 West of England
Small Region (ITL 3)
TLK52 Bath & North East Somerset and South Gloucestershire
Delivery Location
Not specified

Local Authority
South Gloucestershire
Electoral Ward
Stoke Park & Cheswick
Westminster Constituency
Filton and Bradley Stoke

Supplier Information

Number of Suppliers
1
Supplier Name

BAE GLOBAL COMBAT SYSTEMS

Further Information

Notice Documents

Open Contracting Data Standard (OCDS)

View full OCDS Record for this contracting process

Download

The Open Contracting Data Standard (OCDS) is a framework designed to increase transparency and access to public procurement data in the public sector. It is widely used by governments and organisations worldwide to report on procurement processes and contracts.

{
    "tag": [
        "compiled"
    ],
    "id": "ocds-b5fd17-4682e331-6f66-4f6a-bc56-a2f1d7f2c657-2017-03-14T09:53:26Z",
    "date": "2017-03-14T09:53:26Z",
    "ocid": "ocds-b5fd17-4682e331-6f66-4f6a-bc56-a2f1d7f2c657",
    "language": "en",
    "initiationType": "tender",
    "tender": {
        "id": "AVPISP/00136",
        "title": "Manufacture and Supply of Warrior Gunners Services Box",
        "description": "Single source requirement for the manufacture and supply Warrior Gunners Services Boxes NSNs 2590-99-666-2229 & 2590-99-380-0909 (FV2187140 & FV2230322)",
        "status": "complete",
        "classification": {
            "scheme": "CPV",
            "id": "35400000",
            "description": "Military vehicles and associated parts"
        },
        "items": [
            {
                "id": "1",
                "deliveryAddresses": [
                    {
                        "postalCode": "TF1 6QW"
                    }
                ]
            }
        ],
        "procurementMethodDetails": "Not applicable",
        "tenderPeriod": {
            "endDate": "2017-02-21T23:59:59Z"
        },
        "contractPeriod": {
            "startDate": "2017-03-10T00:00:00Z",
            "endDate": "2017-05-31T23:59:59+01:00"
        },
        "suitability": {
            "sme": false,
            "vcse": false
        },
        "mainProcurementCategory": "goods"
    },
    "parties": [
        {
            "id": "GB-SRS-sid4gov.cabinetoffice.gov.uk/7U7AuvS7",
            "name": "MINISTRY OF DEFENCE",
            "identifier": {
                "legalName": "MINISTRY OF DEFENCE",
                "scheme": "GB-SRS",
                "id": "sid4gov.cabinetoffice.gov.uk/7U7AuvS7"
            },
            "address": {
                "streetAddress": "Spruce 1a # 1122, Abbey Wood",
                "locality": "Bristol",
                "postalCode": "BS34 8JH",
                "countryName": "England"
            },
            "contactPoint": {
                "name": "Mrs Catherine Smith",
                "email": "catherine.smith120@mod.uk",
                "telephone": "03067935855"
            },
            "roles": [
                "buyer"
            ]
        },
        {
            "id": "GB-CFS-49938",
            "name": "BAE Global Combat Systems Ltd",
            "identifier": {
                "legalName": "BAE Global Combat Systems Ltd"
            },
            "address": {
                "streetAddress": "Hadley Castle Works PO Box 106 Telford TF1 6QW"
            },
            "details": {
                "scale": "large",
                "vcse": false
            },
            "roles": [
                "supplier"
            ]
        }
    ],
    "buyer": {
        "id": "GB-SRS-sid4gov.cabinetoffice.gov.uk/7U7AuvS7",
        "name": "MINISTRY OF DEFENCE"
    },
    "awards": [
        {
            "id": "ocds-b5fd17-4682e331-6f66-4f6a-bc56-a2f1d7f2c657-1",
            "status": "active",
            "date": "2017-03-10T00:00:00Z",
            "datePublished": "2017-03-14T09:53:26Z",
            "value": {
                "amount": 206690,
                "currency": "GBP"
            },
            "suppliers": [
                {
                    "id": "GB-CFS-49938",
                    "name": "BAE Global Combat Systems Ltd"
                }
            ],
            "contractPeriod": {
                "startDate": "2017-03-13T00:00:00Z",
                "endDate": "2017-05-31T23:59:59+01:00"
            },
            "documents": [
                {
                    "id": "1",
                    "documentType": "awardNotice",
                    "description": "Awarded contract notice on Contracts Finder",
                    "url": "https://www.contractsfinder.service.gov.uk/Notice/d6179a95-a0c4-43ec-a593-51c8680cb543",
                    "datePublished": "2017-03-14T09:53:26Z",
                    "format": "text/html",
                    "language": "en"
                },
                {
                    "id": "2",
                    "documentType": "contractNotice",
                    "description": "Contract",
                    "url": "https://www.contractsfinder.service.gov.uk/Notice/Attachment/33ea56f4-0ee2-4ae1-b778-5c30c9cc1b87",
                    "format": "image/jpeg"
                },
                {
                    "id": "3",
                    "documentType": "contractNotice",
                    "url": "https://www.contractsfinder.service.gov.uk/Notice/Attachment/f8e10be0-9867-462e-8f1b-90eae3bd0692",
                    "format": "image/jpeg"
                },
                {
                    "id": "4",
                    "documentType": "contractNotice",
                    "url": "https://www.contractsfinder.service.gov.uk/Notice/Attachment/4beb470d-ebd9-402d-80de-3f09b4c35e6e",
                    "format": "image/jpeg"
                },
                {
                    "id": "5",
                    "documentType": "contractNotice",
                    "url": "https://www.contractsfinder.service.gov.uk/Notice/Attachment/452ae99a-614c-4848-bb89-61f8eb605f1c",
                    "format": "image/jpeg"
                },
                {
                    "id": "6",
                    "documentType": "contractNotice",
                    "url": "https://www.contractsfinder.service.gov.uk/Notice/Attachment/f2e949e2-3a43-432f-ab80-b5ecb7885c6b",
                    "format": "image/jpeg"
                },
                {
                    "id": "7",
                    "documentType": "contractNotice",
                    "url": "https://www.contractsfinder.service.gov.uk/Notice/Attachment/0f7d9d47-a48f-415a-8aed-5ad50d309fe3",
                    "format": "image/jpeg"
                },
                {
                    "id": "8",
                    "documentType": "contractNotice",
                    "url": "https://www.contractsfinder.service.gov.uk/Notice/Attachment/0991cebd-1770-4467-a68d-b4990c06c5cb",
                    "format": "image/jpeg"
                },
                {
                    "id": "9",
                    "documentType": "contractNotice",
                    "url": "https://www.contractsfinder.service.gov.uk/Notice/Attachment/4026faf4-120b-4abd-bf73-501175f17b37",
                    "format": "image/jpeg"
                },
                {
                    "id": "10",
                    "documentType": "contractNotice",
                    "url": "https://www.contractsfinder.service.gov.uk/Notice/Attachment/c4551cbe-dcb2-4ecc-84c5-d9d2f4434e41",
                    "format": "image/jpeg"
                },
                {
                    "id": "11",
                    "documentType": "contractNotice",
                    "url": "https://www.contractsfinder.service.gov.uk/Notice/Attachment/a26221bd-484d-4ee6-acb1-04597a95f204",
                    "format": "image/jpeg"
                },
                {
                    "id": "12",
                    "documentType": "contractNotice",
                    "url": "https://www.contractsfinder.service.gov.uk/Notice/Attachment/a4df8747-c25b-4fce-85cf-403681891139",
                    "format": "image/jpeg"
                },
                {
                    "id": "13",
                    "documentType": "contractNotice",
                    "url": "https://www.contractsfinder.service.gov.uk/Notice/Attachment/23bb58e7-0aef-42d3-a77e-7f8900a668f7",
                    "format": "image/jpeg"
                },
                {
                    "id": "14",
                    "documentType": "contractNotice",
                    "url": "https://www.contractsfinder.service.gov.uk/Notice/Attachment/621f7ef0-2feb-49fe-a8ff-3be4c9b4f4cd",
                    "format": "image/jpeg"
                },
                {
                    "id": "15",
                    "documentType": "contractNotice",
                    "url": "https://www.contractsfinder.service.gov.uk/Notice/Attachment/084ffaf0-3ca9-4f9b-9300-83c382294b27",
                    "format": "image/jpeg"
                },
                {
                    "id": "16",
                    "documentType": "contractNotice",
                    "url": "https://www.contractsfinder.service.gov.uk/Notice/Attachment/fdf6d6db-7123-48f0-a0c3-f9e32a045b12",
                    "format": "image/jpeg"
                }
            ]
        }
    ]
}